乐动(中国)网5月26日电 近日,乐动平台交叉信息研究院段路明教授团队与助理教授徐勇合作,在基于钠原子的玻色爱因斯坦凝聚体中,首次在理论上将相变动力学(Kibble-Zurek)机制推广到一阶量子相变,并实验观测到这种广义的Kibble-Zurek机制。该成果论文“自旋玻色凝聚体一阶量子相变中广义Kibble-Zurek机制的观测”(Observation of generalized Kibble-Zurek mechanism across a first-order quantum phase transition in a spinor condensate)近日在线发表于《科学•进展》(Science Advances)期刊上。
对于二阶量子相变,Kibble-Zurek机制提供了一个统一的理论来描述该系统相变动力学中的通用标度定律,在物理学与宇宙学中有广泛应用。具体来说,Kibble-Zurek机制预测,通过调控系统参数将系统驱动跨过相变点的过程中,系统会经历三个阶段:绝热阶段,冷冻阶段,然后再次进入绝热阶段。根据Kibble-Zurek机制预测,在线性扫描过程中,系统解冻的动力学相变点与线性扫描速度具有幂律标度关系。
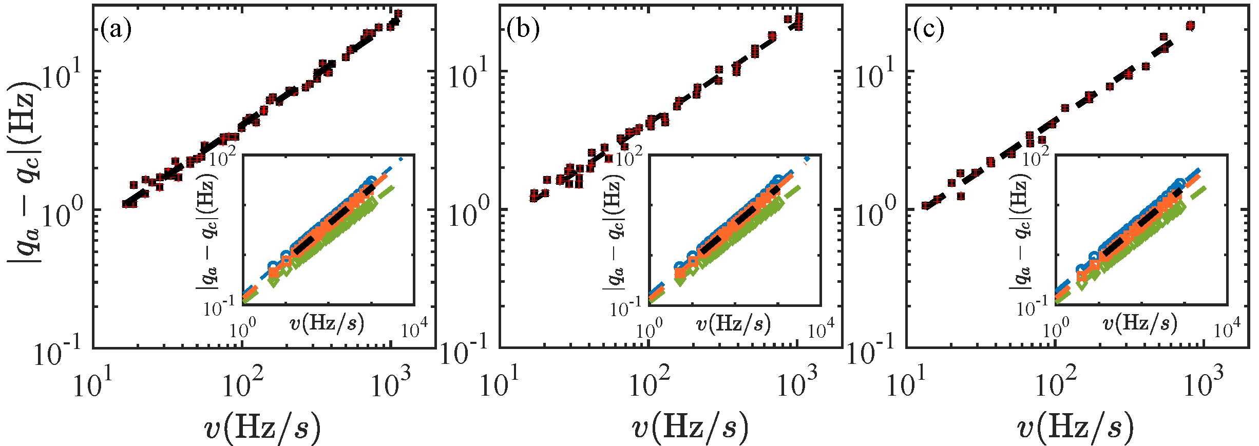
与二阶相变不同,一阶相变在相变点处两相共存。当系统偏离相变点时,也会有亚稳态的存在,这导致一阶相变的标度关系通常不能用传统的Kibble-Zurek机制描述。段路明团队理论上发现对于一阶相变,相关能隙由压稳态和其相应的第一激发态决定,而非二阶相变中的基态和相应的第一激发态决定。这个相关能隙的倒数决定了系统的弛豫时间,从而决定了系统解冻时的参数值。这一机制被称为广义Kibble-Zurek机制。段路明团队进一步实验观测钠原子凝聚体在极性相和反铁磁相的一阶相变中的幂律标度关系,发现该实验结果与广义Kibble-Zurek机制预测高度吻合(如图所示)。该结果为进一步研究一阶相变中广义Kibble-Zurek机制奠定了基础。

Kibble-Zurek实验结果
该论文共同第一作者为乐动平台交叉信息研究院博士研究生仇丽媛、梁海玉和杨炎彬,通讯作者为段路明教授和徐勇助理教授,其他作者包括交叉信息研究院博士后杨蒿翔和博士研究生田天。该项目得到国家重点基础研究发展计划、国家自然科学基金和乐动平台等支持。
论文链接:
https://advances.sciencemag.org/content/6/21/eaba7292
供稿:交叉信息研究院
编辑:吕婷
审核:程曦