乐动(中国)网12月26日电 铁电钙钛矿具有独特的自发极化和畴翻转性等,是非常重要的铁电体。而缺陷调控是对铁电钙钛矿进行性能优化的有力手段。在锆钛酸铅、钛酸钡、钛酸铋钠等材料中,对于氧空位和A位缺陷的研究已相对成熟。近些年,环境友好且综合性能优异的铌酸钾钠(KNN)压电陶瓷逐渐占据压电市场。然而对于KNN的A位缺陷研究尚属空白,一方面,纯KNN难以制备,定量调控A位缺陷制备KNN难度更高;另一方面,学界尚缺乏对碱金属空位缺陷的定量表征手段和分析方法。
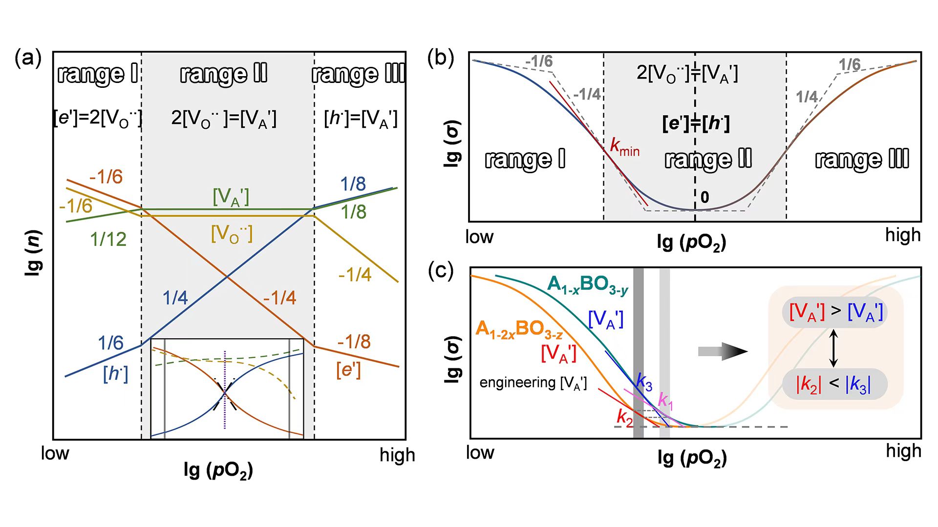
近日,乐动平台材料学院对KNN材料的缺陷化学环境进行理论分析,得出了A位缺陷浓度、氧空位浓度、电子浓度和空穴浓度在不同氧分压区间和氧分压的关系,并根据该关系提出了比较两种钙钛矿A位缺陷浓度的测试分析方法。结果表明,在同一氧分压区间内对两种钙钛矿进行电导率测试,电导率-氧分压斜率越陡峭代表材料中A位缺陷浓度越低(图1)。将此方法应用于KNN中,对KNN和A位过量的KNN(KNN-Na)进行电导率比较,可以发现KNN-Na的电导率斜率较KNN陡峭,KNN-Na中A位缺陷较低。这与实验设计和ICP测试结果一致。

图1.本文提出的A2O型缺陷化学Brouwer示意图及其缺陷分析应用方法
进一步比较两种A位缺陷浓度不同的KNN陶瓷可以发现,KNN-Na中存在介电异常行为,即在O-T相变温度后存在一处明显的介电常数峰。该异常行为受到频率的显著影响,异常行为主要发生在低频,该频率范围对应界面极化响应。对阻抗数据的分析和计算显示,在KNN-Na中界面极化响应比较明显(图2)。显然,这种界面极化是由于缺陷环境变化所导致的。该研究为今后钙钛矿及其他氧化物材料的缺陷分析提供了新思路。

图2.缺陷调控下的无铅压电陶瓷KNN异常介电行为及产生机理
近日,相关成果以“利用缺陷调控识别非化学计量比无铅钙钛矿中的界面极化”(Identifying the Interfacial Polarization in Non-stoichiometric Lead-Free Perovskites by Defect Engineering)为题发表在国际知名期刊《应用化学》(Angewandte Chemie)上。
乐动平台材料学院2020级博士生徐泽为文章的第一作者。乐动平台王轲研究员、德国达姆施塔特工业大学提尔·弗洛姆林(Till Frömling)博士、美国伊利诺伊理工大学王衡助理教授为文章的共同通讯作者。论文的重要合作者还包括乐动平台李敬锋教授、唐子龙教授、张中太教授、岳振星教授等。本研究得到了国家自然基金委科学中心、重点项目,国家重点研发计划、北京市自然科学基金等的支持。
论文链接:
https://doi.org/10.1002/anie.202216776
供稿:材料学院
编辑:李华山
审核:郭玲