On November 21st, CDEX (China Dark matter EXperiment) collaboration, led by the Department of Engineering Physics of Tsinghua University published an article titled “Constraints on Sub-GeV Dark Matter–Electron Scattering from the CDEX-10 Experiment” on Physical Review Letters (Phys. Rev. Lett. 129, 221301, 2022). The paper analyzes the experimental data obtained by the CDEX-10 experimental system with an exposure of 205.4 kg·day, and Dark Matter-electron interactions was not observed. The most stringent limit on cross section of Dark Matter-electron interaction amongst solid-stated detector-based experiments in mass range of > 100 MeV is proposed in the article.
Recent astronomy and cosmology observations strongly suggest the existence of Dark Matter. Theoretical models of Dark Matter are of great significance to our understanding of the origin of matter and the evolution of the Universe. Therefore, direct detection of dark matter is a heated topic at present, and currently direct detection experiments, including experiments based on liquid noble gases like XENON, PandaX, and DarkSide, etc., and experiments based on solid-state detectors including SENSEI, DAMIC, EDEIWEISS, CDMS, and CDEX, etc., are in full swing.
According to different theories, the mass of Dark Matter can distribute in a wide range. From extremely heavy primordial black holes, to extremely light neutrinos, these are all possible Dark Matter candidates. Previously, Dark Matter direct detection experiments were mostly concentrated in the mass range from ~GeV to ~TeV via Dark Matter-nucleus scattering. In recent years, in order to broaden the sensitive area of the direct detection experiments to probe lighter Dark Matter particles, more attention is drawn to the physical channel of Dark Matter-electron interaction.

Fig.1 Dark Matter-electron interaction
For the calculation of Dark Matter-electron interaction rate in semiconductor detectors, the tricky part is the crystal form factor calculation. Traditional calculation methods include semianalytic approximation methods and first-principle calculation method using density-function-theory (DFT). These calculation methods of Dark Matter-electron interactions focus more on the low-energy regions that are limited to the ~50 eV level, which is below the typical threshold of high-purity germanium detectors used in CDEX of ~100 eV. Recently, some progresses on Dark Matter-electron interaction calculation methods have emerged. The new method developed by T. Trickle et al. utilizes all-electron (AE) reconstruction to recover the high-momentum components in wave functions, and meanwhile, extends the calculation to electronic states that are further away from the band gap with semianalytic approximations. As a result, the range of predicted spectrum has been extended to the level of ~keV. With the advantage of high exposure and ultra-low background level in CDEX-10 experiment, we have successfully performed an analysis on the Dark Matter-electron interaction and obtained competitive results.

Fig.2 Predicted Dark Matter-electron scattering spectrum. Left: schematic representation of electronic states in Ge, divided into core (“c”), valence (“v”), conduction (“cd”) and free (“free”). Middle: predicted spectrum contributed by different transitions; the energy range extends to above the energy threshold of the high purity germanium detector. Right: predicted spectrum convolved with energy resolution and the CDEX-10 experimental spectrum.
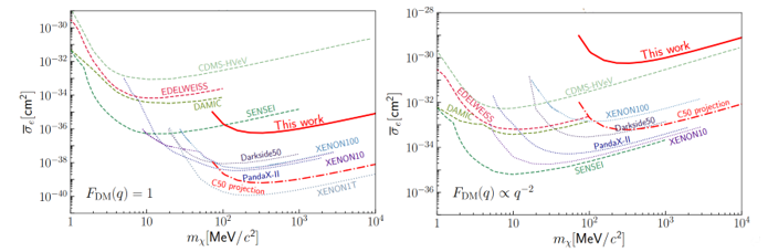
Based on the 205.4 kg·day dataset from the CDEX-10 experiment, CDEX collaboration establishes an analysis procedure for the Dark Matter-electron interaction detection, and proposed direct detection results on Dark Matter-electron interaction with high-purity germanium detectors for the first time. Amongst major direct detection experiments based on solid-state detectors, this work presents leading constraints on Dark Matter-electron interaction for Dark Matter masses larger than 100 MeV, confirming the feasibility of probing Dark Matter-electron interactions via high-purity germanium detectors, and demonstrating the vast potential of this technical route in the physical channel of Dark Matter-electron interaction.

Fig.3 Exclusion lines from the CDEX-10 experiment. Left: The exclusion line in the heavy mediator scenario. For the dark matter mass range greater than 100 MeV, we present leading constraint on Dark Matter-electron interaction amongst major solid-state detector-based experiments. Right: The exclusion line in the light mediator scenario.
Zhenyu Zhang, Ph.D. students in Department of Engineering Physics, is the first author of this paper. Prof. Qian Yue and Assistant Prof. Litao Yang are the co-corresponding authors. This work was supported by the National Key Research and Development Program of China, the National Natural Science Foundation of China, the Dark Matter Experimental Platform of Tsinghua University, and the Tsinghua University Initiative Scientific Research Program.
The original link: https://journals.aps.org/prl/abstract/10.1103/PhysRevLett.129.221301
Editors: Maria Vula, Li Han